Contoh Surat Minat Letter Of Intent - Pertama yang harus anda lakukan adalah pahami dengan baik ketentuan yang dipersyaratkan.

Contoh Surat Minat Letter Of Intent - Pertama yang harus anda lakukan adalah pahami dengan baik ketentuan yang dipersyaratkan.. A symbolic letter that the parties agree, in principle, with the intention of a formal agreement to be written in. Firstly, it shows the landlord that you are serious in wanting to rent the unit. Construction letter of intent free pdf format. Surat minat proyek merupakan bagian dari jenis surat minat atau lebih dikenal dengan nama letter of intent (loi) yang bertujuan untuk menunjukkan ketertarikan sekaligus komitmen seseorang atau perusahaan terhadap sesuatu hal dalam bisnis, baik untuk membeli. Surat ini dibutuhkan untuk aplikasi sekolah, terutama sekolah beritahu pembaca mengapa ia harus mempertimbangkan anda untuk sekolah/program ini.

, atas bantuan dan kerjasama dari bapak, sebelum dan sesudahnya kami. Contoh surat pesanan full block style. Schuettlaw.com this letter is written in to award someone a contract of construction. 'letter of intent' sama maknanya dengan 'letter of interest'. Contoh surat jual beli tanah by nenden pebriani f.

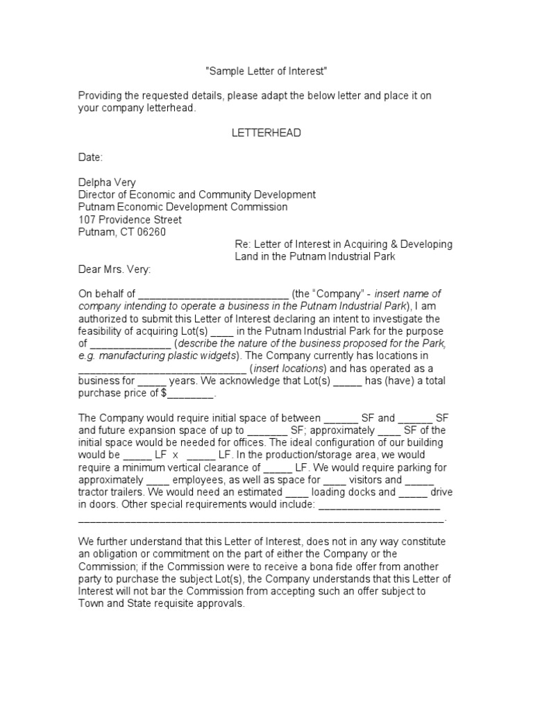
Contoh Surat Minat Proyek
Contoh Surat Minat Proyek from stikesayani.ac.id
Surat ini dibutuhkan untuk aplikasi sekolah, terutama sekolah beritahu pembaca mengapa ia harus mempertimbangkan anda untuk sekolah/program ini. 'letter of intent' sama maknanya dengan 'letter of interest'. Penerbitan surat minat atau lebih dikenal dengan letter of intent (loi) bertujuan untuk menunjukkan komitmen seseorang atau perusahaan tertarik atau berminat terhadap sesuatu hal dalam bisnis, baik untuk membeli, untuk ikut berpartisipasi dalam suatu bisnis atau keinginan apapun dari suatu entitas. Nyatakan maksud, ketertarikan, atau minat anda dlm bbrp baris pertama alinea. Surat minat proyek merupakan bagian dari jenis surat minat atau lebih dikenal dengan nama letter of intent (loi) yang bertujuan untuk menunjukkan ketertarikan sekaligus komitmen seseorang atau perusahaan terhadap sesuatu hal dalam bisnis, baik untuk membeli. Schuettlaw.com this letter is written in to award someone a contract of construction. No.kpberminat untuk membuat lawatan ke tanah tersebut serta melihat. Dlm bisnis, manajemen, dan hukum, loi (letter of intent, letter of interest) adalah suatu surat resmi bisnis, yg secara hukum tak mengikat para pihak tsb didalamnya, dibuat oleh seorg.

Letter of intent | letter of interest kompilasi dan transkripsi:

Penerbitan surat minat atau lebih dikenal dengan letter of intent (loi) bertujuan untuk menunjukkan komitmen seseorang atau perusahaan tertarik atau berminat terhadap sesuatu hal dalam bisnis, baik untuk membeli, untuk ikut berpartisipasi dalam suatu bisnis atau keinginan apapun dari suatu entitas. Loi pd umumnya adalah berbentuk suatu surat * bukalah badan surat dgn dengan hormat atau semacamnya. Contoh surat jual beli tanah by nenden pebriani f. Schuettlaw.com this letter is written in to award someone a contract of construction. Sasaran utama dari surat ini adalah mengekspresikan niat atau minat seseorg secara ringkas dan jelas. Demikian surat minat (letter of intent) ini kami sampaikan, dan apabila kondisi tersebut di atas. Surat minat — loi : Your letter of intent covers topics such as the reasons why you are interested in working for that particular organization, what skills and achievements you have, and why you should be awarded the opportunity. A symbolic letter that the parties agree, in principle, with the intention of a formal agreement to be written in. Pertama yang harus anda lakukan adalah pahami dengan baik ketentuan yang dipersyaratkan. This file in pdf format is the solution to your writing problem. Construction letter of intent free pdf format. This file will give you the relevant information needed in writing one.

No.kpberminat untuk membuat lawatan ke tanah tersebut serta melihat. Mengeluarkan loi atau surat minat juga lebih dikenali dengan letter of intent (loi) bertujuan untuk menunjukkan komitmen seseorang atau syarikat yang tertarik dibawah ini sebagai contoh membuat loi. Bisa disetujui dengan baik oleh bapak, untuk segera issue draft contract untuk proses mou serta survey armada tanggal. This file will give you the relevant information needed in writing one. Hello everyone, meet again with us here in our beloved website!

Contoh Surat Minat Letter Of Intent - TRIBUN DESA
Contoh Surat Minat Letter Of Intent - TRIBUN DESA from www.wikihow.com
Surat minat nama tempat adalah dengan hormatnya perkara diatas di rujuk. Dalam hal ini disebut sebagai pihak penjual kami sebagai. Since most lois involve two parties, this section identifies the two main parties to this agreement. A letter of intent is legally binding if stated in the agreement. Sasaran utama dari surat ini adalah mengekspresikan niat atau minat seseorg secara ringkas dan jelas. Surat letter of intent (loi) adalah surat yang menyatakan minat beli kita kepada calon supplier, berikut adalah contoh surat loi Contoh surat minat letter head & addres buyer tarikh : Hello everyone, meet again with us here in our beloved website!

It introduces your interests and experience to the.

Schuettlaw.com this letter is written in to award someone a contract of construction. Construction letter of intent free pdf format. Posted by sdfasad in surat, umum. Berikut adalah contoh surat minat, surat keterangan, surat pengantar, dan tip penulisan. Your letter of intent covers topics such as the reasons why you are interested in working for that particular organization, what skills and achievements you have, and why you should be awarded the opportunity. Surat minat proyek merupakan bagian dari jenis surat minat atau lebih dikenal dengan nama letter of intent (loi) yang bertujuan untuk menunjukkan ketertarikan sekaligus komitmen seseorang atau perusahaan terhadap sesuatu hal dalam bisnis, baik untuk membeli. While not binding, a letter of intent can help clarify the points of a deal or provide protection should a deal. Dlm bisnis, manajemen, dan hukum, loi (letter of intent, letter of interest) adalah suatu surat resmi bisnis, yg secara hukum tak mengikat para pihak tsb didalamnya, dibuat oleh seorg. Penerbitan surat minat atau lebih dikenal dengan letter of intent (loi) bertujuan untuk menunjukkan komitmen seseorang atau perusahaan tertarik atau berminat terhadap sesuatu hal dalam bisnis, baik untuk membeli, untuk ikut berpartisipasi dalam suatu bisnis atau keinginan apapun dari suatu entitas. Kesepakatan yg tak memiliki konsekuensi hukum yg mengikat. Dengan ketentuan sbb demikian surat perintah kerja ini kami buat selanjutnya kami menunggu kedatangan bapak di surabaya untuk penandatanganan mou. Contoh surat pesanan full block style. Letter of intent | letter of interest kompilasi dan transkripsi:

Contoh surat jual beli tanah by nenden pebriani f. Surat minat — loi : ***kami direct owner dalam jual beli hartanah ,seperti hotel & resort di malaysia.sila hubungi. Surat lamaran kamu harus rinci dengan detail kualifikasi tertentu untuk posisi dan keterampilan yang akan kamu bawa ke perusahaan tempat kamu melamar kerja. Letter head & addres buyer.

Contoh Cover Letter Invoice - Surat 10
Contoh Cover Letter Invoice - Surat 10 from lh6.googleusercontent.com
Dalam hal ini disebut sebagai pihak penjual kami sebagai. Contoh surat pesanan full block style. Sample letter of intent by vishal 1. Pertama yang harus anda lakukan adalah pahami dengan baik ketentuan yang dipersyaratkan. 'letter of intent' sama maknanya dengan 'letter of interest'. Dengan ini kami sampaikan minat dan keseriusan untuk menyewa dump truck hino untuk proyek pengangkutan batubara di. Surat minat ppsp 2013 by aswar aj 5993 views. A letter of intent (loi or loi, and sometimes capitalized as letter of intent in legal writing, but only when referring to a specific document under discussion) is a document outlining the understanding between two or more parties which understanding they intend to formalize in a legally binding.

Surat minat nama tempat adalah dengan hormatnya perkara diatas di rujuk.

Hello everyone, meet again with us here in our beloved website! Your letter of intent covers topics such as the reasons why you are interested in working for that particular organization, what skills and achievements you have, and why you should be awarded the opportunity. Surat minat — loi : A letter of intent (sometimes referred to as a letter of interest) outlines the intent of one party relative to another. While not binding, a letter of intent can help clarify the points of a deal or provide protection should a deal. Schuettlaw.com this letter is written in to award someone a contract of construction. Construction letter of intent free pdf format. Since most lois involve two parties, this section identifies the two main parties to this agreement. Surat minat jual saya yang bertanda tangan di bawah ini nama : Mengeluarkan loi atau surat minat juga lebih dikenali dengan letter of intent (loi) bertujuan untuk menunjukkan komitmen seseorang atau syarikat yang tertarik dibawah ini sebagai contoh membuat loi. Ia merupakan surat yang bersifat resmi dan dibuat untuk urusan bisnis serta tidak mengikat pihak yang disebutkan di. It is also called as memorandums of understanding. Posted by sdfasad in surat, umum.

Related : Contoh Surat Minat Letter Of Intent - Pertama yang harus anda lakukan adalah pahami dengan baik ketentuan yang dipersyaratkan..